生成文法のXバー理論に関するメモ
生成文法のXバー理論では、すべての句(名詞句、動詞句、形容詞句など)が次のような構造をなしていると考える。
XPは名詞句、動詞句、形容詞句などの句(phrase)、主要部Xはその句の中心的な意味を担うもの(名詞、動詞、形容詞など)、補部とは主要部の意味を補うもの、指定部とは指示語や冠詞などの要素である。
句XPは主要部Xが投射されて作られると考える。X'は主要部Xが中間的に投射されたものでXと同じ位置付けである。(Xバーという名は、もとはX'をXの上に棒(バー)を引いた記号で表していたことから来ている。)
句の構造はこのように樹形図で表される。
例えば名詞句NP(noun phrase)「この赤い花」は次のような構造になる。
ここで、指定部に入っているDetとは冠詞や指示語のことで、補部に入っているAは形容詞(adjective)、主要部のNは名詞(noun)である。
また、中間的な投射はいくつも作って行くことができ、その際に付け加えられる部分を付加部という。

図3. 句の基本構造2
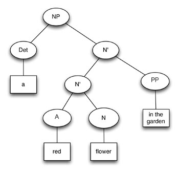
名詞句だと(日本語のうまい例が思いつかないので英語の例を挙げる)、例えば「a red flower in the garden 」の構造は次のようになる。
ここで、主要部の名詞Nには‘flower’、指定部のDetには冠詞‘a’、補部には形容詞Aの‘red’、そして付加部には前置詞句PP(preposition phrase)の‘in the garden’が入る。
動詞句VP(verb phrase)の場合は次のような構造になる。
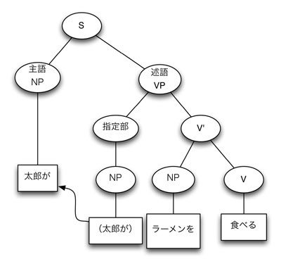
「太郎がラーメンを食べる」という動詞句だと、主要部V(verb)には動詞「食べる」、補部には目的語の「ラーメンを」という名詞句が入る。指定部には「主語」(この場合は「太郎が」という名詞句)が入ると考えられている。
さて、「太郎がラーメンを食べる」という動詞句はそのまま文にもなる。この場合、文Sにおいて動詞句の部分が述語で動詞句の指定部が文の「主語」になっていると考えることができる。図6参照。
Xバー理論において、すべてが図1のような構造になっているとすれば、文もまた同様の句構造になっていると考えられる。では文は一体何の句と考えればいいのだろうか。
ここで「太郎がラーメンを食べた」という過去形の例文を考えてみる。図7参照。
結論を言うと、文とは、時制要素(この例文の場合、過去を表す接辞の「た」)の投射によって作られた時制句だとみなすのである。時制句TPの主要部Tが時制を表す要素、補部がここでは動詞句、そしてTPの指定部には動詞句の指定部のNPが移ってくると考える。もう少し厳密に言うと、動詞から動作主や経験主といった意味役割を与えられている名詞句に対し、時制の要素が主格という格を与えるのである。だから主格の格助詞「が」が付くのはこの段階においてだと考えることもできる。(ただし、日本語の場合このような形での主格(主語)を認めないとする説もある。)

図7. 時制句の例1
では、非過去の「太郎がラーメンを食べる」ではどうなるのかといえば、一段動詞「食べる」の場合、動詞の語幹「tabe」に時制要素として非過去の接辞「ru」が付いていると考えることができるだろう。五段動詞「読む」だったら、語幹「yom」に非過去の接辞「u」が付いていると考えられる。
日本語の場合、TPのさらに上にモダリティを表す構造がある。「太郎がラーメンを食べただろう」という文はモダリティの助動詞(auxiliary)「だろう」によって助動詞句AuxPになっていると考える。図9参照。(特に助動詞句などを考えず、「だろう」は接辞として「た」にくっついているだけと見做すこともできる。また、モダリティはTPよりも上位にあるトピックの階層と考えることもできる。)

図8. 時制句+モダリティの構造
生成文法でも現在の新しい考え方ではXバー理論というトップダウンで与えられるような形はとらず、二つの要素が組み合わさることの繰り返しで下から構造が作られていくと捉えることもあるようである。しかし、構造の表し方として便利だから、Xバー理論がなくなったわけではない。
(追記)
日本語を例にして説明してみたが、英語などと違って日本語の場合必ずしもこのようにはならないという考え方もある。(決定詞やTP(IP)の指定部などに関して)
(追記2)
この記事での樹形図の書き方は必ずし正統的なやり方に則ったものではありません。




